Skip to content
View in the app

A better way to browse. Learn more.

Thailand News and Discussion Forum | ASEANNOW

A full-screen app on your home screen with push notifications, badges and more.

To install this app on iOS and iPadOS
  1. Tap the Share icon in Safari
  2. Scroll the menu and tap Add to Home Screen.
  3. Tap Add in the top-right corner.
To install this app on Android
  1. Tap the 3-dot menu (⋮) in the top-right corner of the browser.
  2. Tap Add to Home screen or Install app.
  3. Confirm by tapping Install.

Electric Vehicles in Thailand

Featured Replies

20 minutes ago, matchar said:

... battery capable of at least 3C charging ...

in my opinion, the charging speed is overrated because most chargers in thailand are still limited to 120 kw. if you have to share the charger with another car, you’ll only get around 60 kw ...

 

also important is the charging curve, how long the car can maintain the maximum charging speed ... 

 

 

  • Replies 11.4k
  • Views 1.6m
  • Created
  • Last Reply

Top Posters In This Topic

Most Popular Posts

  • JBChiangRai
    JBChiangRai

    There's no point arguing with these anti-EV people, even when you educate them over their mistakes, they just repeat their baseless opinions somewhere else.  Frankly, it's tiresome.   I can'

  • i have been looking at a new suv, was thinking of hybrid, or ev, as the price of some brands have been reduced,   but ev's mg zs ev, havel, etc. are ok for short running about trips, but hav

  • JBChiangRai
    JBChiangRai

    Your assumption Thailand will follow, is I believe, false.   Two completely separate markets with separate circumstances.   What kickstarted the EV revolution here was BYD & GW

Posted Images

30 minutes ago, matchar said:

Those BYD blade v1 batteries seem a bit outdated now...it's about time they launched v2 in Thailand.

 

Personally if buying a new car, I would choose a different brand that has a newer CATL battery capable of at least 3C charging.

Silly specs for high end buyers, and for most drivers, especially local, knock around town drivers, not needed or desired for the additional cost.

 

Not that you'd be buying a new BEV any time soon.  Maybe about the time that Toyota sold state battery will actually hit the market, if ever :cheesy:

 

Apologies in advance, if I've mistaken you for one of them ... ICEV drivers.

MG4 upgrades to CATL battery, surprising drivers ( China Only)

The MG4 530 Smart Edition has begun deliveries in China, now featuring batteries from CATL instead of the initially planned Rep Battero units, according to Sina Car News. MG General Manager Chen Cui explained that the adjustment was made to meet October delivery targets amid limited battery production capacity. All 530 Smart Edition units will now use CATL batteries exclusively, rather than a mix of suppliers.

https://carnewschina.com/2025/10/22/mg4-upgrades-to-catl-battery-surprising-drivers/

42 minutes ago, KhunLA said:

Silly specs for high end buyers, and for most drivers, especially local, knock around town drivers, not needed or desired for the additional cost.

 

Not that you'd be buying a new BEV any time soon.  Maybe about the time that Toyota sold state battery will actually hit the market, if ever :cheesy:

 

Apologies in advance, if I've mistaken you for one of them ... ICEV drivers.

Not silly for people without endless time on their hands. The 1-stop range is important for people who just want to stop for 15 minutes to charge on longer trips.

 

For your beloved MG ZS the 1-stop range is a quite pathetic 257km.

 

https://ev-database.org/car/1540/MG-ZS-EV-Standard-Range#long-distance-detailed

 

Driving Profile:

Start with a fully charged battery

Drive until 10% battery charge is reached (leg 1)

Fast charge: 15 minutes

Drive until 10% battery charge is reached (leg 2)

 

  • Popular Post
8 minutes ago, matchar said:

Start with a fully charged battery

Drive until 10% battery charge is reached (leg 1)

Fast charge: 15 minutes

Drive until 10% battery charge is reached (leg 2)

 

from 100% to 10% would mean about 6 hours (450 km) of driving time without stopping based on my driving pattern on my monthly round trip!!!! oh dear ....

 

this would not be possible for me personally because i don’t have an elephant bladder and after about 2 hours of driving, i prefer to take a proper break (toilet, coffee, snack) ... :smile:

but i’m aware there are drivers who empty their bladder into bottles while driving and believe that every minute saved on the road is worth gold ... :cheesy:

 

 

BYD asks the government to develop EV 4.0, plans to increase local content in Thailand after the FTI visited the factory....

The Federation of Thai Industries (FTI) has asked BYD to increase its local content in Thai parts after discussions with the factory. BYD has gradually increased its share to 54% and is requesting government support for EV-PHEVs, even as EV 4.0 measures are implemented

Although production costs in Thailand are slightly higher due to electricity costs

Following the commencement of production in July 2024, BYD has accumulated production capacity of over 55,000 units and is expected to produce over 40,000 units for the entire year, nearly reaching full production capacity, with an average monthly production capacity of 5,000-6,000 units https://www.prachachat.net/economy/news-1904039

  • Popular Post
1 hour ago, matchar said:

Not silly for people without endless time on their hands. The 1-stop range is important for people who just want to stop for 15 minutes to charge on longer trips.

 

For your beloved MG ZS the 1-stop range is a quite pathetic 257km.

 

https://ev-database.org/car/1540/MG-ZS-EV-Standard-Range#long-distance-detailed

 

Driving Profile:

Start with a fully charged battery

Drive until 10% battery charge is reached (leg 1)

Fast charge: 15 minutes

Drive until 10% battery charge is reached (leg 2)

 

Don't know where you get your silly info from, but we stop around the 3+ hr mark of driving, and that's 250 kms +/-, and 25-30% reserve (70-90 kms).   And by the time we're done, walk dog, P, eat, the car is back to 95%.

 

Far from pathetic, and that's only when we're O&A.   At home it's charged with excess Solar, for free, saving 50K+ THB  a year, if all local driving.   Saving hours by not needing a petrol station, if owning a ICEV.

 

That's pathetic  :coffee1:

7 hours ago, matchar said:

Not silly for people without endless time on their hands. The 1-stop range is important for people who just want to stop for 15 minutes to charge on longer trips.

 

For your beloved MG ZS the 1-stop range is a quite pathetic 257km.

 

https://ev-database.org/car/1540/MG-ZS-EV-Standard-Range#long-distance-detailed

 

Driving Profile:

Start with a fully charged battery

Drive until 10% battery charge is reached (leg 1)

Fast charge: 15 minutes

Drive until 10% battery charge is reached (leg 2)

 

 

6 hours ago, KhunLA said:

Don't know where you get your silly info from, but we stop around the 3+ hr mark of driving, and that's 250 kms +/-, and 25-30% reserve (70-90 kms).   And by the time we're done, walk dog, P, eat, the car is back to 95%.

 

Far from pathetic, and that's only when we're O&A.   At home it's charged with excess Solar, for free, saving 50K+ THB  a year, if all local driving.   Saving hours by not needing a petrol station, if owning a ICEV.

 

That's pathetic  :coffee1:

 

I looked at that weblink that @matchar gave but for my Atto 3 and it said 1st leg distance was 238Km and 2nd leg distance 87km for a total of 325km. 

 

They must be dragging an anchor or something in doing those tests because my Atto 3 real world range is around 400Km in the hottest part of the year and around 440km in the coolest part.    That is from 100% down to almost 0%. 

 

Using that weblink's methodology, my 1st leg range would be around 378km and 2nd leg around around 151km for a total of approx 529km.   

 

Yea, they need to redo their testing without an anchor.

11 hours ago, motdaeng said:

i’ve been charging my byd lfp 82.5 kw/h battery only at home for the past 6 months. whenever it drops below 20%, i charge it with 11 kw up to around 70%. for our monthly round trip of about 450 km, i charge it to 100% and get back home with roughly 10% remaining!

 

with the 8-year battery warranty (i drive about 15k per year), i feel well protected. i assume the battery won’t suffer a total failure after 8 years, the chances are higher that i’ll kick the bucket first ... :smile:

this is actually good to keep at 75% max. going to 100% is necessary for other reasons. 
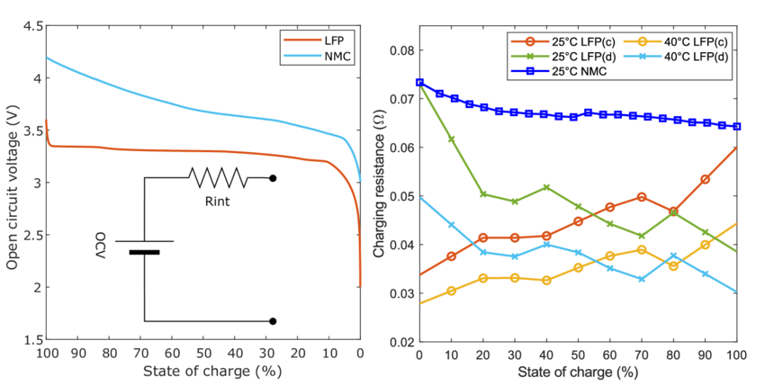
do you know why it’s important to go to 100%? Not purely because of chemistry but also because of the flat curve of LFP voltage and soc that makes it very imprecise to measure each cell SOC when it’s not near 100%. 
NMC has a steady slope on the soc graph, but lfp stays flat for a large portion. 
lfp will last the most when high temperatures are avoided, going below 5%. NMC benefits significantly more from frequent shallow charging within a controlled SOC window than from deep cycle patterns, even if total energy throughput is similar. 
see the graphs. 
 

there is a research that was very well done. Shows how lfp will degrade faster when always staying at 75-100% but much slower compared to NMC

 

LFP typically retains 90–95% capacity after 5–7 years in Thai climate conditions. Calendar aging really dominated the aging period here. 

IMG_2253.png

9 hours ago, matchar said:

Those BYD blade v1 batteries seem a bit outdated now...it's about time they launched v2 in Thailand.

 

Personally if buying a new car, I would choose a different brand that has a newer CATL battery capable of at least 3C charging.

The latest now is 5C, even the Zeekr already has 5C. 6C is going to be selling out soon. 
2C is definitely recommended. The Sealion 7 is not even 2C because it’s 400V. 

  • Popular Post
51 minutes ago, Pib said:

 

 

I looked at that weblink that @matchar gave but for my Atto 3 and it said 1st leg distance was 238Km and 2nd leg distance 87km for a total of 325km. 

 

They must be dragging an anchor or something in doing those tests because my Atto 3 real world range is around 400Km in the hottest part of the year and around 440km in the coolest part.    That is from 100% down to almost 0%. 

 

Using that weblink's methodology, my 1st leg range would be around 378km and 2nd leg around around 151km for a total of approx 529km.   

 

Yea, they need to redo their testing without an anchor.

The Atto3 has bad Drag coefficient, much worse than other cars. 
 

What you say is true, but lower at speeds of 70-90kmh. 
 

The moment you go 100-120 km/h your range drops to 280-240 without doubt. 
I like to cruise at 120. my range is 200km for 100%-20% 

 

(Considering i have ultra premium sport tires, lightweight rims -3kg from stock, Tein endura pro suspension) the cars handles amazing. 130 feels like nothing, but i stick to maximum 120

2 minutes ago, brfsa2 said:

 The Sealion 7 is not even 2C because it’s 400V. 

don't be too harsh with us sealion 7 owners ... 1.81C is almost 2C ... :smile:

 

btw, the top version SL7 in china and europe charges at 2.5C ... :smile:

Just now, brfsa2 said:

The moment you go 100-120 km/h your range drops to 280-240 without doubt. 
I like to cruise at 120. my range is 200km for 100%-20% 

That has not been my experience when doing 120KmH for significant distances where you can do 120KmH for a significant distance like on the motorway #7 between Bangkok and Pattaya. 

 

But the key is in my real world driving which is predominately in the greater Bangkok area and bordering provinces a person is pretty limited to 90KmH on highways....that's the speed limit.   The few roads where 120KmH is allowed for short distances the traffic is usually too heavy to even reach 120KmH unless you are driving on it in the middle of the night.  

2 hours ago, motdaeng said:

don't be too harsh with us sealion 7 owners ... 1.81C is almost 2C ... :smile:

 

btw, the top version SL7 in china and europe charges at 2.5C ... :smile:

I'm not harsh at all, it's an awesome car, i don't need fast charge, but it's good to have when you need. 

I want to buy it, i might or might not. 

 

The China version can charge faster because it's 800V thus it needs half the current (A) compared to 400V to achieve 250kw charging. 

13 hours ago, Pib said:

If you don't mind buying an "activity" vehicle....i.e., demo, test drive, loaner, etc., vehicle this promotion could be a good deal if you are hot-to-trot for a GWM POER SHAR truck. 

 

https://autolifethailand.tv/official-price-discount-activity-car-display-demo-gwm-poer-sahar-hev-oct2025/

image.png.9751d66147604ea265a64f89bdd8fd5b.png

 

 

The post was removed thou... maybe no longer available or mistake?

 

I've been looking at this 2nd hand market, and I only find crap pickups for 500K. full of old 2.2 rangers and 1.9 isuzu. 

it seems pickup depreciates the least in Thailand, or even appreciates according to some car dealers non-sense, of course it's all bs coming from their mouth.
a nice pickup without the new Euro5/6 filters is what I was looking for, Toyota had a good sell of show models, they even have a brand new low floor 4 door for 600,000 baht. 

New rounds of discount for BYD

 

Atto 3 top spec at 699.900

 

dolphin top spec at 569900

@motdang

 

We should start a new thread 'SL7 Elite Cars' .

How dare substandard people say our car charging platform is inferior.

Source: 6km run, swim and many Leo. 🙂

3 hours ago, marino28 said:

New rounds of discount for BYD

 

Atto 3 top spec at 699.900

 

dolphin top spec at 569900

Link, as BYD dealer site not showing 

21 hours ago, brfsa2 said:

The latest now is 5C, even the Zeekr already has 5C. 6C is going to be selling out soon. 
2C is definitely recommended. The Sealion 7 is not even 2C because it’s 400V. 

I'm not an expert but when I fast charge my Sealion 7 I usually see something around 600V. 

 

How is that possible? Shouldn't it actually be an 800V system then? 

200,000 baht discount! Special price for BYD Atto3 100% electric car: 629,900 – 699,900 baht (assembled in Thailand)

https://autolifethailand.tv/official-price-discount-byd-atto3-oct2025/

 

140,000 baht discount! Special price for BYD Dolphin 100% electric car: 449,900 – 569,900 baht (assembled in Thailand)

https://autolifethailand.tv/official-price-discount-byd-dolphin-th-oct2025/

7 minutes ago, idealistic123 said:

I'm not an expert but when I fast charge my Sealion 7 I usually see something around 600V. 

 

How is that possible? Shouldn't it actually be an 800V system then? 

Sealion 7 is classed as 800v architecture but has a nominal battery voltage of around 670v.

 

 

7 minutes ago, vinny41 said:

200,000 baht discount! Special price for BYD Atto3 100% electric car: 629,900 – 699,900 baht (assembled in Thailand)

https://autolifethailand.tv/official-price-discount-byd-atto3-oct2025/

 

140,000 baht discount! Special price for BYD Dolphin 100% electric car: 449,900 – 569,900 baht (assembled in Thailand)

https://autolifethailand.tv/official-price-discount-byd-dolphin-th-oct2025/

wow. I already said good bye to selling my atto3, the buyer will get a new dolphin with full warranty. 

anyways, These seem to real photos of the Hilux BEV: https://autolifethailand.tv/all-new-toyota-hilux-travo-ev-bev-diesel-thailand-world-premiere/ 

 

37 minutes ago, brfsa2 said:

wow. I already said good bye to selling my atto3, the buyer will get a new dolphin with full warranty. 

anyways, These seem to real photos of the Hilux BEV: https://autolifethailand.tv/all-new-toyota-hilux-travo-ev-bev-diesel-thailand-world-premiere/ 

 

Always best to take the quoted discount figures with a pinch of salt

2 month ago in August they increased the price of Dolphin by B20K

Discount: 70,000 baht discount on the Standard Range model, from 569,900 to 499,900 baht, with a free Home Charger, and the Extended Range model has a price increase of 20,000 baht, from 599,900 to 619,900 baht, effective today – 31 August 2025.

https://autolifethailand.tv/official-price-byd-dolphin-discount-aug-2025/

On 10/23/2025 at 11:54 AM, motdaeng said:

 

from 100% to 10% would mean about 6 hours (450 km) of driving time without stopping based on my driving pattern on my monthly round trip!!!! oh dear ....

 

this would not be possible for me personally because i don’t have an elephant bladder and after about 2 hours of driving, i prefer to take a proper break (toilet, coffee, snack) ... :smile:

but i’m aware there are drivers who empty their bladder into bottles while driving and believe that every minute saved on the road is worth gold ... :cheesy:

 

 

You must have either have a large battery or drive slow or both. Driving at the speed limit of 120 km/h on motorways quickly drains the battery of most EVs.

 

If the power of Thai charging stations is limited then having a large battery is more important for long distance trips. Unless you enjoy taking a 40+ minute break every 2-3 hours to get back up to 80%. 

  • Popular Post

500k baht down from the original price in Nov 2022.

Is it still expensive?

atto3.jpg

On 10/23/2025 at 6:46 PM, Pib said:

 

 

I looked at that weblink that @matchar gave but for my Atto 3 and it said 1st leg distance was 238Km and 2nd leg distance 87km for a total of 325km. 

 

They must be dragging an anchor or something in doing those tests because my Atto 3 real world range is around 400Km in the hottest part of the year and around 440km in the coolest part.    That is from 100% down to almost 0%. 

 

Using that weblink's methodology, my 1st leg range would be around 378km and 2nd leg around around 151km for a total of approx 529km.   

 

Yea, they need to redo their testing without an anchor.

It's all about the speed you drive. Those figures are based on motorway speeds. Driving at 80 km/h or around town will get you much further but most people drive 120 km/h on motorways as that's the speed limit.

  • Popular Post
6 minutes ago, 4myr said:

500k baht down from the original price in Nov 2022.

Is it still expensive?

atto3.jpg

As I previously predicted, BYD are desperate to sell locally assembled EVs before years end or they will have to repay the subsidies for all the imported ones.

Create an account or sign in to comment

Recently Browsing 0

  • No registered users viewing this page.

Account

Navigation

Search

Search

Configure browser push notifications

Chrome (Android)
  1. Tap the lock icon next to the address bar.
  2. Tap Permissions → Notifications.
  3. Adjust your preference.
Chrome (Desktop)
  1. Click the padlock icon in the address bar.
  2. Select Site settings.
  3. Find Notifications and adjust your preference.